
В Запорожской области за сутки не зарегистрировано ни одной гибели, связанной с заболеванием коронавирусоной болезнью. В регионе три района остаются свободными от коронавируса. Хотя и медленными темпами, но продолжает проводиться иммунизация – 30 июля количество закончивших делать прививки составило 3,84% всего населения области. В Украине в этот день число полностью иммунизированных составило 4,83% и перевалило за 2 млн человек – данные с учетом привитых вакциной Дженсен, которую достаточно уколоть один раз.
Данные по заболеваемости COVID-19 в Запорожской области, Украине и в мире
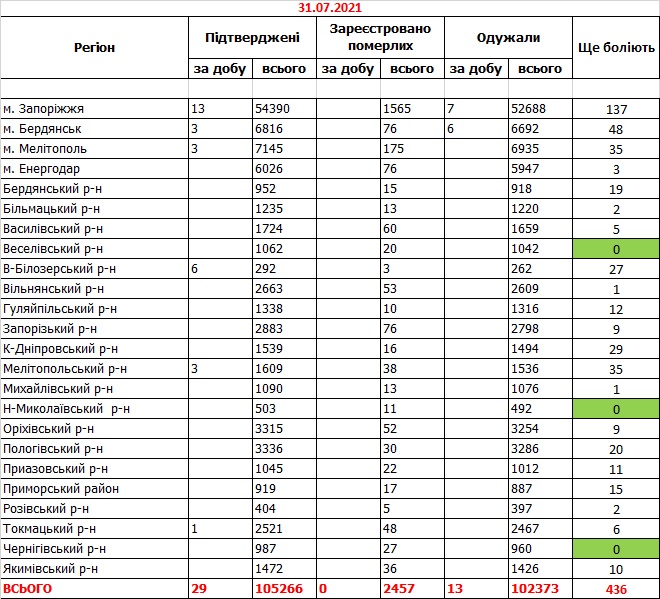
Запорожская область
По данным ГУ “Запорожский областной центр контроля и профилактики заболеваний МЗ Украины”, на утро сегодняшнего дня, 31 июля, закончили иммунизацию 63 807 человек; вчера ее завершили 1 837 жителей области.
Ситуация с заболеваемостью коронавирусом в регионе на 31 июля, следующая:
– заразилось в 2,23 больше людей, чем выздоровело;
– заразились 105 266 (+29) – 6,34% населения региона;
в том числе:
– еще болеют 436 (+16) – 0,42% заразившихся;
– погибли 2 457 (+0) – 2,33%;
– выздоровели 102 373 (+13) – 97,25%.
Еще болеют:
0,026% всего населения области;
3,36% от числа болеющих во всех 25-ти регионах Украины;
Заразились:
4,67% от числа всех заразившихся в Украине;
0,25% от населения Украины
В Запорожской области 3 района, Веселовский, Черниговский и Новониколаевский на сегодняшний день не имеет ни одного больного коронавирусом.
Заболеваемость коронавирусом – данные по районам Запорожской области на 31 июля 2021
Вакцинация:
Закончили иммунизацию (сделали две прививки) 63 807 (+1 837) человек – 3,84% (+0,111%) населения области. С учетом тех, кто погиб от коронавируса, еще болеющих и переболевших, кому прививку делать нет особой необходимости – люди с иммунитетом 10,2% населения. А темпы вакцинации минувшего дня позволяют надеяться, что целевой показатель, 70% населения, будет достигнут через 1,5 лет. До достижения целевого показателя осталось выработать иммунитет (привиться или переболеть) 59,8% населения области.
Украина
По данным Минздрава, в Украине ситуация с заболеваемостью коронавирусной болезнью COVID-19 на сегодняшний день, 31 июля, следующая:
– заразилось в 1,79 больше людей, чем выздоровело;
– заразились 2 252 785 (+916) – 5,43% населения страны,
в том числе:
– болеют 12 977 (+391) – 0,58% заразившихся;
– погибли 52 945 (+15) – 2,35% заразившихся;
– выздоровели 2 186 863 (+510) – 97,07% заразившихся.
Место Украины в мировом рейтинге из 220 стран по заболеваемости коронавирусом COVID-19:
– заболевшие – 18 место;
– погибшие – 18 место;
– выздоровевшие – 18 место;
– еще болеют – 71 место.
Место Украины в европейском рейтинге из 50 стран по заболеваемости коронавирусом COVID-19:
– заболевшие – 8 место;
– погибшие – 8 место;
– выздоровевшие – 8 место;
– еще болеют – 18 место.
Вакцинация:
Закончили иммунизацию (сделали две прививки, или одну вакциной Дженсен) 2 000 853 (+61 861) человек – 4,83% (+0,149%) населения страны. С учетом тех, кто погиб от коронавируса и переболевших, кому прививку делать нет особой необходимости – люди с иммунитетом 10,27% населения. А темпы вакцинации минувших суток позволяют надеяться, что целевой показатель, 70% иммунного населения, будет достигнут через 1,1 лет. До достижения целевого показателя осталось выработать иммунитет (привиться или переболеть) 59,73% населения Украины.
Мир
За сутки от ковида в мире погибло 2 045 людей. Летальность – на уровне 2,14%. Количество заразившихся в 1,75 больше числа выздоровевших.
Так, по данным ВОЗ на утро, 31 июля:
– заразились: 198 129 652 (+340 278) – 2,52% населения планеты,
в том числе:
– еще болеют 14 888 275 (+254 991) – 7,52%;
– погибли 4 227 422 (+7 284) – 2,13%;
– выздоровели 179 013 955 (+229 557) – 90,35% заразившихся.
Читайте также:
Данные по заболеваемости COVID-19 на 30 июля 2021: мир, Украина, Запорожская область